Der Elastomer Polybutadien (BR) ist auch bekannt als Butadien-Kautschuk oder künstlicher Kautschuk.
Eigenschaften
Ähnlich wie natürlicher Kautschuk besitzt Polybutadien eine große Elastizität (Dehnbarkeit ähnlich wie Gummi) bei hoher Festigkeit und gehört damit zu den Elastomeren. Hitzebeständig ist Polybutadien allerdings nur bis ca. 90 ºC.
Verwendung
Haupteinsatzgebiet von Polybutadien sind Autoreifen und - man sollte es nicht glauben - die Kerne von Golfbällen.
Synthese
Polybutadien wird aus dem Monomer 1,3-Butadien hergestellt, einem einfachen Dien. Bereits 1910 gelang dem russischen Chemiker Sergei Vasilyevich Lebedev diese Synthese.
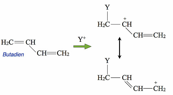
Der Reaktionsmechanismus ist eine kationische Polymerisation. Zunächst wird ein Starter-Kation Y+ benötigt. Dieses Kation bricht dann eine der beiden C=C-Doppelbindungen eines Butadien-Moleküls auf und verbindet sich mit dem organischen Molekül:

Wie man in der Abbildung sehen kann, sind dabei zwei verschiedene Resonanzstrukturen möglich. Die positive Ladung des Carbenium-Ions kann sich an dem zweiten C-Atom befinden oder an dem vierten. Die tatsächliche Resonanzstruktur ist ein "Mittelding" bzw. beide Strukturen existieren gleichzeitig. Auf jeden Fall trägt sowohl das zweite wie auch das vierte C-Atom dieses Kations eine "halbe positive Ladung".
Die Folgen dieses Phänomens sind phänomenal: Bei der Anlagerung des nächsten Butadien-Moleküls können nämlich zwei verschiedene Produkte entstehen, jenachdem ob sich das nächste Butadien-Molekül an das zweite C-Atom oder an das vierte C-Atom addiert:

Man spricht hier auch von 1,2-Verknüpfungen und 1,4-Verknüpfungen.
Und es wird noch interessanter. Die aus acht C-Atomen bestehenden Strukturen können ebenfalls wieder in zwei möglichen Resonanzstrukturen auftreten. Das heißt, wenn sich das dritte Butadien-Molekül anlagert, gibt es bereits vier verschiedene Möglichkeiten. Einige dieser Möglichkeiten führen zu einer linearen Kette von 12 C-Atomen (nur 1,4-Verknüpfungen), andere dieser Möglichkeiten führen zu verzweigten Ketten (mindestens eine 1,2-Verknüpfung). Die beiden oberen C8-Strukturen in der Abbildung sind bereits verzweigt, die beiden unteren C8-Strukturen sind linear.
Durch gezielte Einstellung der Reaktionsbedingungen (Temperatur, Druck, Katalysator etc.) kann man nun steuern, wie stark verzweigt das Polymer im Endeffekt ist, und so kann man künstlichen Kautschuk mit den unterschiedlichsten Eigenschaften herstellen. Diese Quervernetzungen der Polymerketten führen zu der hohen Elastizität des Butadien-Kautschuks und sind damit für seine Haupteigenschaft verantwortlich.