Polymethylmethacrylat (PMMA), besser bekannt als Plexiglas, ist ein voll- transparenter Thermoplast.
Eigenschaften
Plexiglas ist auf den ersten Blick nicht von richtigem Glas zu unterscheiden, es ist fast noch transparenter als Glas, lässt aber im Gegensatz zu Glas weniger UV-Licht durch. Außerdem ist Plexiglas unzerbrechlich, was wohl sein größter Vorteil gegenüber richtigem Glas ist. Wie jeder Thermoplast kann auch Plexiglas erwärmt und dann verformt werden, was viele Anwendungen wie zum Beispiel gebogene Frontscheiben für Autos ermöglicht. Durch spezielle Zusätze können die Eigenschaften von Plexiglas an die jeweiligen Bedürfnisse angepasst werden, zum Beispiel lässt es sich sehr leicht einfärben. Außerdem kann Plexiglas ähnlich wie ein Duroplast bearbeitet werden. Ein Nachteil gegenüber richtigem Glas ist die Empfindlichkeit von Plexiglas gegenüber bestimmten organischen Lösemitteln, vor allem Aceton und Benzol greifen Plexiglas leicht an.
Verwendung
Plexiglas wird fast überall eingesetzt, eine Auflistung wäre auf dieser Webseite zu aufwändig; in dem Wikipedia-Artikel findet sich aber eine sehr ausführliche Übersicht über die Einsatzgebiete von Plexiglas.
Das Material kann beliebig gestaltet werden, lässt sich in jede Form bringen und leicht bearbeiten. Durch die Transparenz ist es ein beliebter Stoff – für Gläser und Verkleidungen in der Automobilindustrie genauso wie für Leuchtwerbung, Souvenirs oder Pokale. Die Oberfläche kann zum Beispiel durch Lasergravur oder Druck individualisiert werden. Aquarien bestehen in den meisten Fällen aus Plexiglas und auch im Zoo findet der stabile Glasersatz häufig Verwendung. Aber auch in der Medizin wird Plexiglas genutzt, unter anderem für Zahnprothesen, als künstliche Linse oder für Bauteile von Hörgeräten. Wie gesagt sind die Einsatzgebiete breit gefächert.
Hier ein paar weitere Beispiele für den Einsatz von Plexiglas:
- Verglasungen (Ersatz für richtiges Glas)
- Beschichtung von Fußböden, Balkonen etc.
- Linsen
- Schutzhauben für Maschinen
- Schüsseln und Behälter für den Haushalt
Plexiglas wurde in den 30er Jahren des letzten Jahrhunderts entwickelt. Seit 1933 wird Plexiglas in industriellem Maßstab erzeugt.
Synthese
Polymethylmethacrylat wird aus dem Monomer Methacrylsäuremethylester durch radikalische Polymerisation hergestellt. Die Synthese dieses Monomers ist Thema vieler Oberstufenlehrbücher der Chemie, frei nach dem Motto "Vom Erdöl zum Plexiglas"; auch in meinem eigenen Chemie-Unterricht der Sekundarstufe II gehe ich diesen Weg.
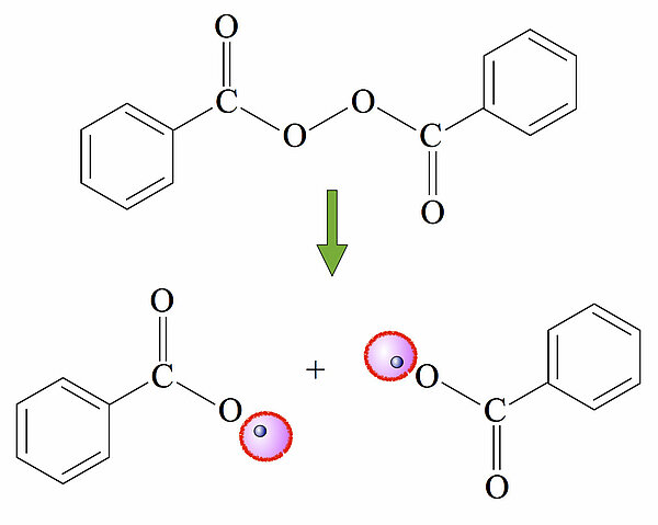
Bildung der RadikaleIm üblichen Schulversuch "Herstellung von Plexiglas" wird meistens Dibenzoylperoxid als Starter verwendet.

In der Startreaktion zerfällt das Dibenzoylperoxid-Molekül durch leichtes Erwärmen oder Lichteinstrahlung homolytisch in zwei Benzoyloxy-Radikale.. Die einfach besetzten Kugelwolken (Orbitale) der beiden Radikale sind hier besonders hervorgehoben worden.
In einem zweiten Schritt spalten die Benzoyloxy-Radikale jeweils ein CO2-Molekül ab, und es bilden sich Phenyl-Radikale:

Diese Phenyl-Radikale fungieren nun als Starter der Plexiglas-Synthese.
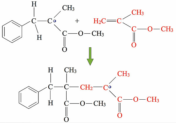
KettenstartDiese Abbildung zeigt den eigentlichen Kettenstart. Ein Phenyl-Radikal nähert sich der C=C-Doppelbindung des MMA-Moleküls (Methacrylsäuremethylester). Die pi-Bindung der Doppelbindung löst sich homolytisch auf, und eine der beiden einfach besetzten Kugelwolken überlappt mit der einfach besetzten Kugelwolke des Phenyl-Radikals. Die andere einfach besetzte Kugelwolke der ehemaligen C=C-Doppelbindung ist jetzt bereit für den Kettenfortpflanzungsschritt.
Kettenfortpflanzung / Kettenwachstum
Nach diesem Prinzip wächst die Polymerkette jetzt Schritt für Schritt, bis es zum Kettenabbruch kommt. Die Geschwindigkeit des Kettenwachstums ist sehr hoch, es finden ca. 5000 bis 20000 Wachstumsschritte pro Sekunde statt.
KettenabbruchWie bei jeder radikalischen Polymerisation kann es zum Kettenabbruch kommen, wenn eine der drei Bedingungen erfüllt ist:
- Der Vorrat an MMA im Reaktionsgefäß ist erschöpft.
- Zwei der im Reaktionsgemisch vorhandenen Radikale stoßen zusammen.
- Es wird ein Stoppreagenz zugefügt, das ebenfalls Radikale produziert, welche das Kettenwachstum stoppen.