Übersicht
Im Zentralabitur NRW wird regelmäßig eine Aufgabe gestellt, die direkt oder indirekt mit Azofarbstoffen zu tun hat. So zum Beispiel im Jahre 2015 mit dem "Farbnachweis für die Aminosäuren Phenylalanin und Tyrosin".
Hier ein kurzer Überblick über die Abituraufgaben zur Farbstoffchemie seit 2007, die auch das Thema Azofarbstoffe behandeln.
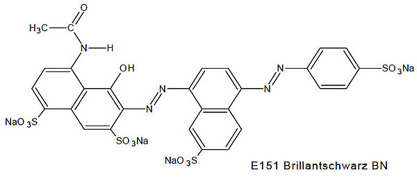
Abitur 2007, LeistungskursAmaranth und Brillantschwarz – zwei synthetische Lebensmittelfarbstoffe
In der Teilaufgabe 3 wird von den S. verlangt, einen Syntheseweg für die Herstellung von Brillantschwarz zu entwickeln.

Abitur 2007, Grundkurs
Synthese und Farbigkeit von Kongorot im Vergleich mit Benzopurpurin
Auch in der Grundkurs-Aufgabe geht es um Azofarbstoffe:

Die S. sollen die Farbstoffklasse angeben, zu der Kongorot gehört und auch den Syntheseweg beschreiben.
Abitur 2008, GrundkursFarbnachweis von Sulfonamiden in Arzneimitteln

In dieser Aufgabe stellt ein Apotheker durch eine chemische Nachweisreaktion einen orange gefärbten Stoff her. Die S. sollen einen Syntheseweg dafür angeben und in einer weiteren Teilaufgabe auch die Ursachen für das Auftreten von Farbigkeit nennen.
Abitur 2009, GrundkursGelborange S in einem Brausegetränk

Auch hier sollen die S. den Syntheseweg angeben und in einer anderen Teilaufgabe auf das Absorptionsspektrum des Azofarbstoffs eingehen. Interessanterweise wird in dieser Abituraufgabe auch darauf eingegangen, wie man mit Hilfe eines Fotometers die Konzentration eines Farbstoffs ermitteln kann.
Abitur 2010, LeistungskursOrange I und Orange II: Synthese, Farbigkeit und Verwendung

In dieser Abituraufgabe geht es um die Synthese eines Azofarbstoffs, wie ich sie selbst in meinem Chemieunterricht in jedem Kurs als Schülerversuch durchführe: Herstellung von Orange I oder II aus Sulfanilsäure und Naphthol-1 bzw. Naphthol-2.
Abitur 2010, GrundkursGefährliche Schönfärberei – Sudan I und Sudan III in Lebensmitteln nachgewiesen

Muss man hier noch viel zu sagen?
Abitur 2011, LeistungskursIndikatoren zeigen Bauschäden an.
Endlich mal keine Abituraufgabe zum Thema Azofarbstoffe. Hier geht es um Triphenylmethan-Farbstoffe, vor allem um Phenolphthalein und Thymolphthalein.
Abitur 2011, GrundkursTartrazin, ein Farbstoff für Süßigkeiten

Für den Grundkurs scheinen Triphenylmethan-Farbstoffe zu kompliziert zu sein, daher fragt die GK-Aufgabe des Jahres 2011 wieder Azofarbstoffe ab.
Abitur 2012, LeistungskursAlizaringelb-Synthese auf einem Ionenaustauscher

Abitur 2013, Leistungskurs
Janusgrün B in sich selbst zerstörenden DVDs

Abitur 2014, Leistungskurs
Fleckentfärbung auf Kleidungsstücken
Und wieder keine Abituraufgabe zum Thema Azofarbstoffe. Hier geht es um Indigo-Farbstoffe.
Abitur 2014, GrundkursJanusgrün B in sich selbst zerstörenden DVDs

Auch Indigofarbstoffe scheinen für den Grundkurs zu kompliziert zu sein, daher wieder ein Azofarbstoff in der Grundkursaufgabe.
Abitur 2015, Grundkurs/LeistungskursFarbnachweise für die Aminosäuren Phenylalanin und Tyrosin
Diese Abituraufgabe habe ich recht ausführlich auf einer eigenen Seite beschrieben. Natürlich geht es auch hier wieder um Azofarbstoffe.
Abitur 2016, Grundkurs/LeistungskursMit Farben messen

Hier sollen die S. wieder mal den Syntheseweg für Methylrot angeben und in einer anderen Teilaufgabe den Zusammenhang zwischen Struktur und Farbigkeit erklären. Auch auf Absorptionsspektren soll eingangen werden sowie auf Farbveränderungen durch Veränderungen des pH-Wertes.
Abitur 2017, Grundkurs/LeistungskursSynthese, Farbigkeit und Verwendung des Lebensmittelfarbstoffs Azorubin

Hier sollen die S. den Syntheseweg für Azorubin angeben und in einer anderen Teilaufgabe den Zusammenhang zwischen Struktur und Farbigkeit erklären.