Von dieser Seite gibt es auch eine einfachere Version!

Ein klassischer Versuch

Die Verbrennung von Magnesium ist ein sehr beliebter und bekannter Versuch. Mit der entstehenden grellen weißen Flamme lassen sich alle Schüler schnell beeindrucken, und man kann die Beobachtungen leicht erklären.

Versuch
Verbrennung von Magnesium
Durchführung:

Ein Stück Magnesiumband (4 bis 5 cm Länge) wird mit der Tiegelzange in die Flamme eines Brenners gehalten, der auf einer feuerfesten Unterlage steht.

Beobachtungen:

Das Magnesium beginnt zunächst zu schmelzen, plötzlich entzündet es sich und brennt mit greller weißer Flamme recht lange weiter. Brennende kleine Stücke Magnesiumband fallen auf die Unterlage. Nach Verlöschen der Flammen kann man in der Tiegelzange und auf der Unterlage grauweiße Stücke bzw. Krümel erkennen.

Den Schülern kann man dann wunderschön erklären, dass es sich hier um eine typische chemische Reaktion handelt, denn es entsteht ein neuer Stoff mit völlig neuen Eigenschaften, das grau-weiße spröde Magnesiumoxid. Außerdem kann man prima erklären, dass es sich bei der Reaktion um eine exotherme Reaktion handelt. Schließlich, als ob das nicht genug wäre, kann man erkären, dass es sich bei diesem Versuch um eine typische Oxidation handelt, denn das Magnesium verbindet sich mit dem Sauerstoff aus der Luft.

Der klassische Oxidationsbegriff

Damit wären wir beim klassischen Oxidationsbegriff, wie er im ersten Jahr des Chemieunterrichts eingeführt wird:

Oxidation = Aufnahme von Sauerstoff bzw. Reaktion mit Sauerstoff.

Eine andere Oxidation

Versuch
Reaktion von Magnesium mit Stickstoff
Durchführung:

Man gibt mehrere Spatelspitzen Magnesiumpulver auf eine feuerfeste Unterlage und hält ein Becherglas bereit, mit dem man den Magensiumhaufen abdecken kann. Mit einem schräg gehaltenen Bunsenbrenner entzündet man dann den Magnesiumhaufen. Sofort nachdem das Magnesium angefangen hat zu brennen, stülpt man das Becherglas über das brennende Magnesium, so dass die Verbrennung ohne weitere Luftzufuhr abläuft.

Nach Beendigung der Reaktion versetzt man das Reaktionsprodukt mit etwas Wasser.

Beobachtungen:

Obwohl der Sauerstoff im Becherglas recht schnell verbraucht ist, läuft die exotherme Reaktion weiter. Am Ende der Reaktion ist ein graugrünes Pulver entstanden, welches mit Wasser unter Bildung zischender Geräusche reagiert.

Bei diesem Versuch entsteht zunächst noch etwas grau-weißes Magnesiumoxid. Nachdem der Sauerstoff im Becherglas aufgebraucht ist, reagiert das Magnesium mit dem Luftstickstoff N2 zu grau-grünem Magnesiumnitrid Mg3N2. Dieses Salz reagiert mit Wasser unter Bildung von Magnesiumhydroxid Mg(OH)2 und Ammoniak NH3.

Die interessante Frage, die sich allerdings nur aufmerksamen Schülern stellt, ist diese:

Wieso ist die Reaktion von Magnesium mit Stickstoff eigentlich eine Oxidation?

Diese Frage werde ich am Ende dieser Seite beantworten. Bevor wir zu dieser Antwort kommen, wollen wir uns aber noch einen weiteren tollen Versuch anschauen - ebenfalls eine exotherme Reaktion, die erst auf den zweiten Blick eine Oxidation ist.

Eine weitere Oxidation

Versuch

Reaktion von Eisen mit Chlor
Durchführung:

Mit einem Gasentwicklungsapparat stellt man aus Kaliumpermanganat und konz. Salzsäure im Abzug Chlorgas her und leitet dies in einen oder mehrere Standzylinder, die man anschließend mit einer Glasplatte gut verschließt. In die Standzylinder hat man zuvor eine ca. 2 cm dicke Schicht Sand gefüllt.

Ein Bausch Eisenwolle wird mit dem Bunsenbrenner entzündet (Tiegelzange!) und dann in einen der mit Chlorgas gefüllten Standzylinder gegeben. Anschließend wird der Zylinder mit dem glühenden Eisen wieder mit der Glasplatte verschlossen.

Beobachtungen:

Sobald das glühende Eisen mit dem Chlor in Kontakt kommt, setzt eine heftige chemische Reaktion ein, bei der gelblich-rote Flammen entstehen.

Gleichzeitig entsteht einer dicker bräunlicher Rauch, der erst den gesamten Zylinder ausfüllt, sich dann aber mit der Zeit zusammenzieht, wobei es an der Grenzfläche zwischen Rauch und normaler Luft ziemlich heftig wabbert.

Genau so stellt sich der Laie Chemie vor: Dicker brauner Rauch, der im Zylinder wabbert…

Die Deutung dieses Versuchs ist auf den ersten Blick auch nicht besonders schwer: Das Eisen reagiert mit dem Chlor zu Eisen(III)chlorid FeCl3.

Auch hier stellt sich am Ende wieder die Frage:

Wieso ist die Reaktion von Eisen mit Chlor eine Oxidation?

Ein neuer Oxidationsbegriff

Mit unserer alten Definition des Begriffs "Oxidation" kommen wir bei den beiden letzten Versuchen nicht weiter. Die Reaktion von Magnesium mit Sauerstoff lässt sich ja noch mit dem klassischen Oxidationsbegriff erklären:

Oxidation = Reaktion mit Sauerstoff

Die Reaktion von Magnesium mit Stickstoff sowie die Reaktion von Eisen mit Chlor lassen sich mit diesem klassischen Oxidationsbegriff jedoch nicht mehr erklären - trotzdem handelt es sich bei beiden Reaktionen um Oxidationen. Wir müssen also den alten Oxidationsbegriff erweitern / ergänzen / verändern, so dass er auch zu den beiden anderen Reaktionen passt.

Die Rolle der Elektronen

Konzentrieren wir uns zunächst auf die Rolle der Metall-Atome bei den drei Reaktionen.

Magnesium-Atome geben bei der Salzbildung (siehe auch "Ionenbindung und Ionenkristalle") jeweils zwei Elektronen ab. Dazu muss das feste Magnesium zunächst sublimiert und dann ionisiert werden, was ziemlich viel Energie kostet. Das ist ja auch der Grund dafür, dass wir das Magnesiumband mit der Tiegelzange in die heiße Brennerflamme halten müssen (Aktivierungsenergie). Die Reaktionsgleichungen oben zeigen diese Sublimierungen und Ionisierungen einmal für Magnesium, und einmal für Eisen.

Kommen wir nun zu den Nichtmetallen, welche ja die Reaktionspartner bei der Salzbildung sind:

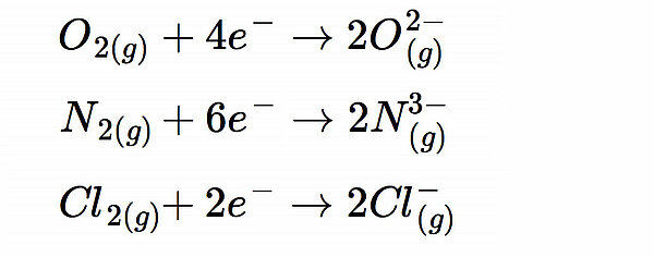
Jedes Sauerstoff-Atom nimmt zwei Elektronen auf, jedes Stickstoff-Atom drei Elektronen, und jedes Chlor-Atom je ein Elektron. Wie wir bei der NaCl-Bildung gesehen haben, ist die Aufnahme eines Elektrons eine exotherme Reaktion, da neue Bindungen entstehen (Atomkern - Elektron). Allerdings müssen die Gas-Moleküle vorher in einzelne Atome gespalten werden, was wieder eine endotherme Reaktion ist.

Kombinieren wir nun die einzelnen Reaktionsschritte so, dass sie zu den drei Versuchen passen:

Reaktion von Magensium mit Sauerstoff

Magnesium-Atome geben je zwei Elektronen ab, Sauerstoff-Atome nehmen je zwei Elektronen auf. Es findet also ein Elektronentransfer vom Magnesium zum Sauerstoff statt. Das Magnesium spielt die Rolle des Elektronen-Donators, der Sauerstoff die Rolle des Elektronen-Akzeptors. Hier das Ganze in Form von Reaktionsgleichungen:

Prozess 1:
Die Mg-Atome geben jeweils zwei Elektronen ab und werden dadurch zu zweifach positiv geladenen Mg-Ionen. Eine solche Elektronenabgabe bezeichnet man in der fortgeschrittenen Chemie als Oxidation. Warum das Mg-Atom zwei Elektronen abgibt, kann leicht mit der Oktettregel erklärt werden: Mg-Atome haben zwei Elektronen zuviel, durch die Abgabe der beiden Elektronen erlangen sie eine voll besetzte Außenschale, so wie die Edelgase sie auch haben. Man spricht hier auch von einer Edelgaskonfiguration.

Prozess 2:
Ein Sauerstoffmolekül nimmt vier Elektronen auf, dabei entstehen dann zwei zweifach negativ geladene Sauerstoff-Ionen. Eine solche Elektronenaufnahme bezeichnet man als Reduktion.
Mit der Oktettregel allein kann man diese Elektronenaufnahme übrigens nicht erklären. Das Sauerstoffmolekül enthält zwei kovalent gebundene O-Atome, die sich bereits im Edelgaszustand befinden.

Wenn man diese beiden Prozesse zusammenfasst, kommt man zur Gesamtreaktion (unter der blauen Linie).

Gesamtreaktion:
Zwei Mg-Atome übertragen vier Elektronen an ein Sauerstoffmolekül, dabei entstehen zwei positive Mg- und zwei negative O-Ionen, die sich anschließend gegenseitig anziehen und festes MgO bilden, was aber in der Gesamtgleichung noch nicht berücksichtig wurde.

Gleichnamigmachen der Reaktionsgleichungen:

Die obere Reaktionsgleichung (Oxidation) muss mit dem Faktor 2 multipliziert werden, denn es werden pro Mg-Atom ja nur zwei Elektronen freigesetzt, während ein Sauerstoff-Molekül vier Elektronen benötigt. Hat man beide Teilgleichungen "gleichnamig" gemacht (durch Multiplizieren mit geeigneten Faktoren sorgt man dafür, dass bei der einen Reaktion genau so viele Elektronen freigesetzt werden, wie bei der anderen Reaktion benötigt werden), so kann man sie einfach addieren. Das Ergebnis dieser Addition steht unter dem blauen Strich.

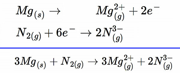
Reaktion von Magnesium mit Stickstoff

Die obere Gleichung muss mit dem Faktor 3 multipliziert werden, damit insgesamt die sechs Elektronen freigesetzt werden, die für die untere Gleichung benötigt werden. Dann kann man beide Gleichungen addieren und erhält die Gesamtreaktion. Die gasförmigen Ionen vereinigen sich dann zum festen Magnesiumnitrid Mg3N2.

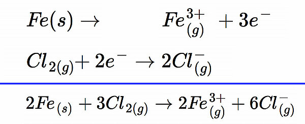
Reaktion von Eisen mit Chlor

Die obere Gleichung muss mit dem Faktor 2 multipliziert werden, die zweite Gleichung mit dem Faktor 3; dann enthält jede Gleichung genau sechs Elektronen. Die gasförmigen Ionen vereinigen sich dann zum festen Eisen(III)chlorid FeCl3.

Im Endeffekt werden Elektronen vom Eisen auf das Chlor übertragen, man könnte von einer Elektronenübertragung oder von einem Elektronentransfer sprechen.

Die Oxidation und die Reduktion laufen gleichzeitig ab. Eigentlich ist das doch auch logisch: die Reduktion kann nur dann stattfinden, wenn genügend Elektronen zur Verfügung stehen. Irgendwoher müssen die Elektronen aber kommen, also kann die Reduktion nur dann ablaufen, wenn gleichzeitig eine Oxidation stattfindet. Man spricht hier auch von zwei gekoppelten chemischen Reaktionen. Und eine Reaktion, bei der eine Reduktion mit einer Oxidation gekoppelt ist, bezeichnet man halt einfach als Redoxreaktion.

Oxidationen als Elektronenübertragungs- Reaktionen

Salzbildungsreaktionen und viele andere chemische Reaktionen sind mit der Übertragung von Elektronen verbunden. Die Elektronen werden von einem Elektronen-Donator auf einen Elektronen-Akzeptor übertragen. Die Abgabe der Elektronen wird dabei als Oxidation bezeichnet, die Aufnahme der Elektronen als Reduktion. Die Übertragung der Elektronen wird als Redoxreaktion bezeichnet. Redoxreaktionen gehorchen dem allgemeinen Donator-Akzeptor-Prinzip.

Fassen wir am Ende noch einmal den neuen Redoxbegriff zusammen:

Oxidation = Abgabe von Elektronen
Reduktion = Aufnahme von Elektronen
Redoxreaktion = Übertragung von Elektronen von einem Elektronen-Donator auf einen Elektronen-Akzeptor.