Die schaumartige bunte Seite dieser Scheuerschwämme besteht aus Polyurethanen. Das sind Thermoplaste, die durch Polyaddition von zweiwertigen Alkoholen und Diisocyanaten entstehen. Der genaue Reaktionsmechanismus ist auf der Seite zur Polyaddition dargestellt.
Geschichte
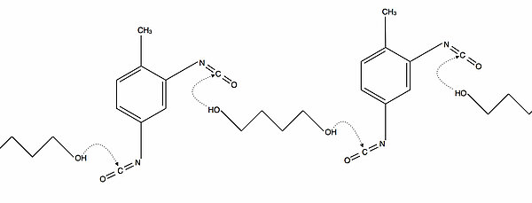
Die auf der Seite zur Polyaddition dargestellte Reaktion zwischen Butan-1,4-diol und Hexan-1,6-diisocyanat wurde bereits 1937 von Otto Bayer durchgeführt. Otto Bayer ist übrigens nicht mit Friedrich Bayer, dem Gründer der bekannten Bayer-AG verwandt. Bald entdeckte man, dass andere Verbindungen deutlich besser reagieren als Butan-1,4-diol und Hexan-1,6-diisocyanat. So wurde beispielsweise die aromatische Verbindung Toluol-2,4-diisocyanat gern eingesetzt:

Bald entdecke man auch, dass man statt Diolen (Alkoholen mit zwei OH-Gruppen) auch Triole wie Glycerin (Alkohole mit drei OH-Gruppen) einsetzen kann. Dann entstehen nicht einfache lineare Polymere, sondern verzweigte Polymere mit ganz anderen Eigenschaften.
Verwendung
Polyurethane (PUR) werden vielfältig eingesetzt. In Deutschland wird PU hauptsächlich von der Bayer AG und der BASF produziert; 1011 wurden ca. 1 Millionen Tonnen hergestellt (32% für Gebäudedämmung, 20% für Möbel und Matratzen, 14% für den Automobilbau und 10% für Lacke und Farben; Zahlen aus dem Wikipedia-Artikel "Polyurethane").
Aus dem bereits oben erwähnten Toluol-2,4-diisocyanat (TDI) werden Polyurethan-Weichschäume hergestellt.
"Daraus werden langlebige Komfortprodukte mit hohem Qualitätsanspruchhergestellt, die aus dem modernen Lebensalltag nicht mehr wegzudenken sind. Beispiele sind liegefreundliche Kaltschaum-Matratzen, hochwertige Sitzmöbel, rückenschonende Polster für Büro- und Autositze, aber auch passgenaue Produktschutzverpackungen, Mikrofon- und Kopfhörer-Schutzpolster sowie zahlreiche weitere Anwendungen im Sport- und Freizeitbereich."
Zitat aus einem Pressebericht der Bayer-AG von 2010
Auch an vielen anderen Stellen im Haushalt tauchen Polyurethan-Schäume auf, zum Beispiel bei den Haushaltsschwämmen (siehe Aufmacherbild), auf der Rückseite von Teppichböden (der zähe Belag, der beim Entfernen eines Teppichbodens immer auf dem Beton haften bleibt). Auch die Lenräder von Autos, Beschichtungen von Handgriffen, manche Schuhsohlen, Leder-Imitate, Abdichtungen und so weiter bestehen aus PUR-Schäumen. Wer sich wirklich ein Bild von den zahlreichen Verwendungsmöglichkeiten machen will, geht am besten auf die Wikipedia-Seite "Polyurethane, Anwendung".
Synthese
Das Grundprinzip der Polyurethan-Synthese wird auf der Seite über Polyaddition ausführlich erläutert. Neben verschiedenen Diolen und Triolen werden hauptsächlich folgende Diisocyanat-Komponenten verwendet (Wikipedia):
- Hexamethylendiisocyanat (HDI)
- Toluylendiisocyanat (TDI)
- Methylendi(phenylisocyanat) (MDI)
- Polymeres Diphenylmethandiisocyanat (PMDI)
- Naphthylendiisocyanat (NDI)
- Isophorondiisocyanat (IPDI)
- 4,4’-Diisocyanatodicyclohexylmethan (H12MDI)
Die verschiedenen PUR-Schäume
Auf der Lernhelfer-Seite "Polyurethane" finden sich zahlreiche wertvolle Informationen zu diesem Kunststoff. Vor allem sind hier auch die drei verschiedenen Arten der PUR-Schäume ausführlich beschrieben. Hier nur eine kurze Auflistung.
- Weichschäume
- Integralschäume
- Hartschäume
Recycling
Auf der Seite "Polyurethane und Nachhaltigkeit" von Polyurethanes.org erfahren Sie, auf welche Weisen die verschiedenen Polyurethane recycelt werden können.