Bakelit ist ein Kunststoff aus der Klasse der Phenoplaste (Phenolharze).
Bakelit ist einer der ältesten Kunststoffe überhaupt. Hergestellt wurde er von dem deutschen Chemiker Adolf von Baeyer bereits im Jahre 1872. Er ließ Phenol und Formaldehyd miteinander in einer exothermen Reaktion zu einer festen, harten Masse polymerisieren. Eine industrielle Herstellung des Kunststoffs fand allerdings erst 1909 durch den belgischen Chemiker Leo Hendrik Baekeland statt, der dem Kunststoff den Namen "Bakelit" verpasste.
Eigenschaften
Bakelit ist ein sehr harter und spröder Kunststoff, der widerstandsfähig gegen Säuren und Hitze sowie "normale" mechanische Einwirkungen ist. Fällt ein Bakelit-Gegenstand allerdings auf den Boden, kann er zerbrechen.
Verwendung
Vor der Erfindung besserer Kunststoffe aus der Klasse der Duroplaste wurde Bakelit vielseitig eingesetzt. Bekannt sind zum Beispiel Telefone aus Bakelit, der "Volksempfänger", ein Radiogerät aus der Nazi-Zeit, hatte ein Gehäuse aus Bakelit, und auch viele Haushalts- und Küchengegenstände wurden in den 30er, 40er und 50er Jahren aus Bakelit hergestellt.
Herstellung

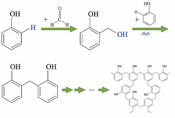
Bakelit entsteht bei der Reaktion von Formaldehyd mit Phenol. Die Abbildung zeigt die ersten Schritte dieser Polykondensation sowie einen Ausschnitt aus dem stark verzweigten Endprodukt. Die Quervernetzungen rühren daher, dass die Formaldehyd-Moleküle sowohl in ortho- wie auch in para-Stellung an das Phenol angelagert werden können, und manchmal auch in beiden Positionen gleichzeitig.