Der +M-Effekt am Beispiel Phenol
Im Chemieunterricht der gymnasialen Oberstufe wird der mesomere Effekt meistens am Beispiel der Bromierung von Phenol besprochen. Ich selbst führe den Versuch auch regelmäßig im Unterricht durch; im aktuellen Schoedel-Band "Chemie heute" findet sich eine gute Versuchsanleitung[1], auf die ich hier jetzt aber nicht eingehe. Der Versuch verläuft sehr schön, und die Reaktion läuft bei Zimmertemperatur recht schnell und eindrucksvoll ab - und das alles ohne Katalysator.
Im Unterrichtsgespräch kommt dann die Frage auf, wie das sein kann. Bekanntlich hat die OH-Gruppe des Phenols doch einen -I-Effekt, zieht also Elektronendichte aus dem Benzolring ab. Daher sollte das Phenol eigentlich weniger reaktiv sein als das Toluol, mit dem in der Stunde vorher eine Bromierung durchgeführt wurde. Für die Bromierung von Toluol wurde Eisenpulver als Katalysator benötigt, und die Reaktion lief auch nicht so gut ab.
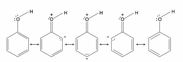
An dieser Stelle des Unterrichts wird dann der +M-Effekt eingeführt, der positive mesomere Effekt. Am besten macht man sich diesen Effekt mit folgender Abbildung klar:

Auf dem Bild sehen wir die fünf Grenzstrukturen des Phenol-Moleküls. Bei drei der Grenzstrukturen bildet das O-Atome eine Doppelbindung zum Benzolring aus, dabei wird es positiv geladen, während der Benzolring eine negative Ladung übernimmt. Man spricht hier auch von einer Ladungstrennung.
Durch diese negative Ladung wird die Elektronendichte im Benzolring natürlich stark erhöht. Im Vergleich zum elektronenziehenden -I-Effekt der OH-Gruppe wirkt sich dieser elektronenschiebende +M-Effekt (positiver mesomerer Effekt) viel stärker auf die Elektronendichte aus. Die Reaktivität des Moleküls wird also durch den +M-Effekt stark erhöht, so dass die Bromierung von Phenol ohne Katalysator ablaufen kann.
Der -M-Effekt am Beispiel Benzoesäure
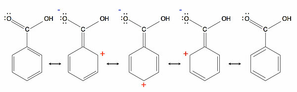
Die Benzoesäure zeigt nun das Gegenteil eines +M-Effekts. Betrachten wir dazu die folgende Abbildung:

Bei drei dieser Grenzstrukturen verliert das O-Atom seine Doppelbindung zum C-Atom der Carboxygruppe und übernimmt eine negative Ladung. Das C-Atom der Carboxygruppe bildet eine C=C-Doppelbindung zum Benzolring aus, und dieser übernimmt eine positive Ladung. Hier findet also wieder eine Ladungstrennung statt. Durch die positive Ladung hat sich allerdings die Elektronendichte des Benzolrings drastisch verringert, und entsprechend leidet die Reaktivität der Verbindung. Man spricht hier daher von einem -M-Effekt.
Quellen:
- Chemie heute SII Qualifikationsphase, Braunschweig 2014 (Schroedel-Verlag)