Der Phenolphthalein-Versuch
Hier ein weiterer interessanter Versuch zum Thema "Osmose":

Durchführung
Aus Einmachfolie wird ein Beutel geformt, der mit verdünnter Phenolphthalein- Lösung gefüllt wird. Oben wird der Beutel durch eine Schnur oder einen Gummiring zusammengehalten.
Der so gefüllte Beutel wird in ein großes Glasgefäß gehängt, das mit verdünnter Natronlauge gefüllt ist. Nun wird einige Zeit beoachtet.
Beobachtungen
Eine Volumenzunahme des Beutels ist so gut wie nicht zu beobachten, aber der ursprünglich farblose Beutel färbt sich langsam violett.
Deutung
Wie man aus dem Chemie-Unterricht weiß, ist Phenolphthalein ein Indikator für Hydroxid-Ionen. Liegt der pH-Wert der Lösung unter 8, so ist Phenolphthalein farblos, bei einem pH-Wert über 8 nimmt der Indikator jedoch eine tiefviolette Farbe an. Warum das so ist, habe ich auf meinen Chemieseiten zum Phenolphthalein erklärt.
Das Phenolphthalein immer Innern des Beutels ist zunächst farblos, weil die Lösung in dem Beutel einen pH-Wert < 8 hat. Wenn man den Beutel in verdünnte Natronlauge hängt, diffundieren Hydroxid-Ionen in den Beutel hinein. Die "Membran" des Beutels ist offensichtlich permeabel für Hydroxid-Ionen. Wenn eine bestimmte Anzahl von Hydroxid-Ionen in den Beutel eingedrungen ist, erreicht der pH-Wert im Beutel einen Wert von 8 oder größer, und der Indikator schlägt farblich um, das Phenolphthalein wird violett.
Warum wird die verdünnte Natronlauge nicht ebenfalls violett?
Ganz einfach: Phenolphthalein-Moleküle sind sehr groß, und die Membran des Beutels ist nicht permeabel für diese großen Moleküle.
Der Ionenfallen-Versuch
Durchführung
Man schneidet eine Zwiebel in kleine Stücke und zieht mit der feinen Pinzette ein dünnes Häutchen von einer der Zwiebelschalen ab. Mit der Schere schneidet man nun ein kleines Quadrat aus diesem Häutchen aus und mikroskopiert es. Allerdings legt man das kleine Zwiebelhäutchen nicht in einen Tropfen Leitungswasser, sondern in einen Tropfen einer Lösung des Farbstoffs Neutralrot. Neutralrot ist ein roter organischer Farbstoff, der in Leitungswasser eher orange bis hellbraun gefärbt ist.
Beobachtungen
Man kann nun beobachten, dass sich das Plasma der Zellen rot färbt, und zwar "richtig" rot, nicht orange oder braun. Mit der Zeit wird diese Färbung immer intensiver, wie das folgende Bild zeigt:

Deutung
Die Erklärung für diese Beobachtung ist schon etwas komplizierter und erfordert einiges an Zusatzinformationen.
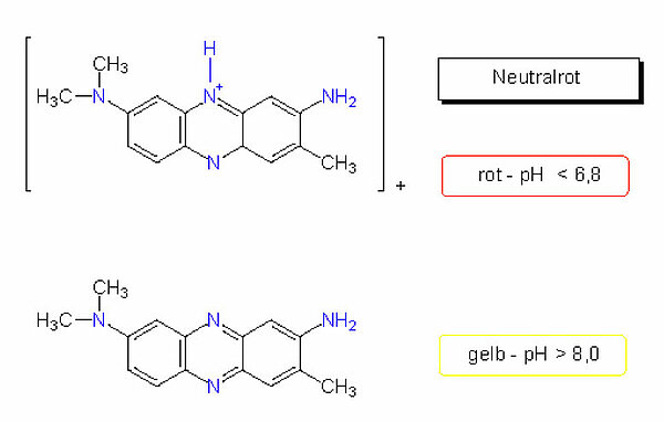
Zusatzinformationen zum Neutralrot

Neutralrot ist ein roter Farbstoff. Die Neutralrot-Moleküle sind kompliziert aufgebaut und können in zwei Formen vorkommen. Oben im Bild sieht man das Neutralrot-Ion, unten das Neutralrot-Molekül. Das Ion entsteht, wenn man eine Neutralrot-Lösung mit Säure versetzt. Dann lagern sich nämlich Protonen an die Neutralrot-Moleküle an, diese werden dadurch zu positiv geladenen Neutralrot-Ionen.
Neutralrot-Ionen sind wegen ihrer Hydrathülle deutlich größer als Neutralrot-Moleküle!
Deutung, Fortsetzung
Im Plasma einer Zelle herrscht ein eher saures Milieu, der pH-Wert liegt meistens unterhalb von 7. Die Neutralrot-Moleküle sind elektrisch nicht geladen und können offensichtlich durch die Zellmembran in die Zwiebelzellen eindringen. Ob das jetzt direkt durch die Lipid-Doppelschicht geschieht oder durch spezielle Proteine, muss hier nicht diskutiert werden. In der Zelle angekommen, reagieren die Neutralrot-Moleküle mit den dort vorhandenen Protonen und werden zu Neutralrot-Ionen. Diese sind positiv geladen und können daher Wasser-Moleküle anziehen, es bildet sich eine Hydrathülle. Dadurch werden die Neutralrot-Ionen einerseits deutlich größer als die Neutralrot-Moleküle, was eine Diffusion durch die Membran erschwert. Andererseits sind die NR-Ionen elektrisch geladen, was für eine Passage durch die Zellmembran ebenfalls eher hinderlich ist. Mit anderen Worten: Die NR-Ionen können nicht mehr aus der Zelle heraus, sie sind in der Zelle "gefangen". Daher heißt dieser Versuch auch "Ionenfallen-Versuch".
Warum nimmt die Rotfärbung der Zellen immer mehr zu; stellt sich nicht irgendwann ein dynamisches Gleichgewicht ein?
Der Trick bei der Sache ist der: Neutralrot-Ionen sind ein anderer "Stoff" als Neutralrot-Moleküle. Die Konzentration der NR-Moleküle im Zellinnern ist immer sehr gering, während die Konzentration der NR-Moleküle im Außenmedium immer sehr hoch ist. Die Diffusion der NR-Moleküle ins Zellinnere kommt also nie zum Stillstand. Jedes eingedrungene NR-Molekül wird sofort in ein NR-Ion umgewandelt und kann dann nicht mehr aus der Zelle heraus. Die Pflanzenzelle wird quasi zu einer Gefängniszelle.
Anwendung
Glucose ist ein wichtiger Nährstoff für alle Zellen; Gehirnzellen können sich sogar ausschließlich durch Glucose ernähren, während Körperzellen sich auch mit anderen Zuckern oder Fettsäuren zufriedengeben, wenn keine Glucose vorhanden ist. Die Glucose gelangt aus dem Blutkreislauf durch passive Diffusion in diese Zellen. Allerdings wird die Glucose im Zellplasma sofort durch ein Enzym mit einer Phosphatgruppe versehen, man spricht hier von einer Phosphorylierung. Dadurch wird die Glucose in einen völlig anderen Stoff umgewandelt. Das hat zur Folge, dass die Glucose-Konzentration im Zellinnern immer sehr niedrig bleibt. Die passive Diffusion kann also fortgesetzt werden, auch wenn schon sehr viel Glucose von der Zelle aufgenommen wurde.